Message formatting

Zulip uses Markdown to allow you to easily format your messages. Even if you've never heard of Markdown, you are probably familiar with basic Markdown formatting, such as using * at the start of a line in a bulleted list, or around text to indicate emphasis.

Formatting buttons in the compose box make it easy to format your message. For those who prefer to type the formatting they need, this page provides an overview of all the formatting available in Zulip. There is a convenient message formatting reference in the Zulip app that you can use whenever you need a reminder of the formatting syntax below.

Text emphasis

In Zulip, you can make text bold or italic, or cross it out with strikethrough.

What you type

**bold**, *italic*, and ~~strikethrough~~ text
***~~All three at once~~***

What it looks like

Markdown emphasis

You can also use buttons or keyboard shortcuts (Ctrl + B or Ctrl + I) to make text bold or italic. Learn more.

Bulleted lists

Zulip supports Markdown formatting for bulleted lists. You can create bulleted lists using *, -, or + at the start of each line. Add two spaces before the bullet to create a nested list.

What you type

* bulleted lists
  * with sub-bullets too
  * sub-bullets start with 2 spaces
    * start sub-sub-bullets with 4 spaces
* multi
line
bullet
- dashes and
+ pluses are ok too

What it looks like

Markdown bullets

You can also use the Bulleted list () button in the compose box to insert bulleted list formatting. Learn more.

Numbered lists

Zulip supports Markdown formatting for numbered lists. You can create numbered lists by putting a number followed by a . at the start of each line. Lists are numbered automatically, so you can reorder list items while editing your message without having to update the numbers. Add two spaces before the number to create a nested list.

What you type

1. numbered lists
1. increment automatically
   1. use nested lists if you like
   3. delete or reorder lines without fixing the numbering
1. one more
   17. lists can start at any number
   18. so you can continue a list after some other text

What it looks like

Markdown numbered lists

You can also use the Numbered list () button in the compose box to insert numbered list formatting. Learn more.

In Zulip, you can insert a named link using Markdown formatting. In addition, Zulip automatically creates links for you when you enter:

What you type

Named link: [Zulip homepage](zulip.com)
A URL (links automatically): zulip.com
Stream link: #**stream name**
Stream and topic link: #**stream name>topic name**
Custom linkifier: For example, #2468 can automatically link to an issue in your tracker.

What it looks like

Markdown links

You can also use the Link () button or a keyboard shortcut (Ctrl + Shift + L) to insert a link. Learn more.

Code blocks

You can write snippets of code, code blocks, and other text in a fixed-width font using standard Markdown formatting. Zulip also has syntax highlighting and supports configuring custom code playgrounds.

What you type

Inline code span: `let x = 5`

Code block:
```
def f(x):
   return x+1
```

Syntax highlighting:
```python
def fib(n):
    # TODO: base case
    return fib(n-1) + fib(n-2)
```

You can also use ~~~ to start code blocks, or just indent the code 4 or more spaces.

What it looks like

Markdown code

A widget in the top right corner of code blocks allows you to easily copy code to your clipboard.

You can also use the Code () button in the compose box to insert code formatting. Learn more.

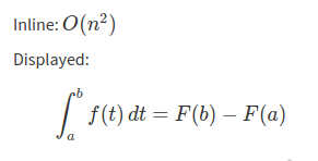
LaTeX

Zulip supports math typesetting powered by KaTeX. Their support table is a helpful resource for checking what's supported or how to express something.

What you type

Inline: $$O(n^2)$$

Displayed:
``` math
\int_a^b f(t)\, dt = F(b) - F(a)
```

What it looks like

Markdown LaTeX

You can also use the LaTeX () button in the compose box to insert LaTeX formatting. Learn more.

Quotes

You can format quotes one line at a time, or create a block of text that will be formatted as a quote.

What you type

> a multi-line
quote on two lines

normal text

```quote
A multi-paragraph

quote in two paragraphs
```

What it looks like

Markdown quotes

There is a handy option to quote and reply to a message in Zulip. You can also use the Quote () button in the compose box to insert quote formatting. Learn more.

Spoilers

Zulip lets you temporarily hide content in a collapsible spoiler section, with only the header initially shown. Clicking on the header reveals the hidden content.

What you type

```spoiler The spoiler heading might summarize what's inside
This content is initially hidden.

> You can combine spoilers with other formatting.

```

A message can contain both spoilers and other content.

```spoiler
Leave the heading blank if you like.
```

What it looks like

Collapsed spoilers:

Spoiler collapsed

Expanded spoilers:

Spoiler expanded

You can also use the Spoiler () button in the compose box to insert spoiler formatting. Learn more.

Emoji and emoticons

There are several ways to use an emoji in your message:

You can add custom emoji for your organization. Like default emoji, custom emoji can be entered into the compose box by name, or selected from the emoji picker.

What you type

:octopus: :heart: :zulip: :)

What it looks like

Markdown emoji

Mention a user or group

You can mention a team member or user group to call their attention to a message. Mentions follow the same notification settings as direct messages and alert words. A silent mention allows you to refer to a user without triggering a notification. A wildcard mention allows you to mention everyone on a stream, or mention all topic participants.

What you type

Users: @**Bo Lin** or @**Ariella Drake|26** (two `*`)
User group: @*support team* (one `*`)
Silent mention: @_**Bo Lin** or @_**Ariella Drake|26** (`@_` instead of `@`)
Wildcard mentions: @**all**, @**everyone**, @**stream**, or @**topic** (two `*`)

A | followed by a user ID is inserted automatically when you select a user from the typeahead suggestions, if there are two users with the same name in the organization.

What it looks like

Markdown mentions

/me action messages

You can send messages that display your profile picture and name as the beginning of the message content by beginning a message with /me. You can use this feature in conversations when you want to describe actions you've taken or things that are happening around you using a third-person voice.

For example, if you are Ada Starr:

What you type

/me is away

What it looks like

Markdown status

Global times

When collaborating with people in different time zones, you often need to express a specific time clearly. In Zulip, rather than typing out your time zone and having everyone translate the time in their heads, you can insert a time, and it will be displayed to each user in their own time zone (just like timestamps on Zulip messages).

What you type

A date picker will appear once you type <time.

Our next meeting is scheduled for <time:2020-05-28T13:30:00+05:30>

You can also use other formats such as UNIX timestamps or human readable dates, for example, <time:May 28 2020, 1:30 PM IST>.

What it looks like

A person in San Francisco will see:

Our next meeting is scheduled for Thu, May 28 2020, 1:00 AM.

While someone in India will see:

Our next meeting is scheduled for Thu, May 28 2020, 1:30 PM.

You can also use the Add global time () button in the compose box to select a time from the date picker. Learn more.

Tables

Zulip supports Markdown formatting for tables.

What you type

|| yes | no | maybe
|---|---|:---:|------:
| A | left-aligned | centered | right-aligned
| B |     extra      spaces      |  are |  ok
| C | **bold** *italic* ~~strikethrough~~  :smile:  ||

The initial pipes (|) are optional if every entry in the first column is non-empty. The header separators (---) must be at least three dashes long.

What it looks like

Markdown table

Collaborative to-do lists

Zulip supports creating shared to-do lists where any user who can access the message can add tasks by entering the task's title and description, and clicking Add task. Once created, task titles and descriptions cannot be edited.

What you type

/todo

Any other content in a message starting with /todo will be ignored.

What it looks like

After two tasks have been added to the shared to-do list:

Markdown todo-lists

Tasks can be marked (and unmarked) as completed by clicking the checkboxes on the left.

Paragraph and section formatting

Zulip supports Markdown formatting for paragraphs and visual section breaks, which you can use to control the layout of your text and to visually separate different sections of content.

What you type

One blank space for a new paragraph
New line, same paragraph

New paragraph

---, ***, or ___ for a horizontal line
Over the line

---

Under the line

What it looks like

Markdown paragraph

Message formatting reference

A summary of the formatting syntax above is available in the Zulip app.

  1. Click on the Help menu () icon in the upper right corner of the app.

  2. Select Message formatting.

You can also open the compose box, and click the question mark () icon at the bottom of the compose box.